프레스티어자이는 과천정부청사역 역세권에 지어질 단지로 총 1,445세대(일반분양 287세대)의 아파트입니다. 2024년 10월 7일에는 특별공급 청약이, 8일에는 1순위 일반공급 청약이, 10일에는 2순위 일반공급 청약이 진행될 예정으로 청약이 임박해 있습니다. 이 글에 3분만 할애하시면 분양가 적정여부를 쉽게 알 수 있습니다. 많은 도움이 되셨으면 합니다.
입주자모집공고문 내려받기

목차
1. 프레스티어자이 사업개요
✅ 분양주소 : 경기도 과천시 별양동 7번지 일원

✅ 단지규모 : 35층, 11개동, 총 1,445세대 / 일반분양 287세대
✅ 분양/입주 : 분양 2024.09.27 / 입주 2027.10
✅ 건설사 : 지에스건설(주)
✅ 분양문의 : 1833-2527
✅ 난방방식 : 지역난방
✅ 주차대수 : 2,460대 / 세대당 1.70대
✅ 청약가능통장 : 청약예금, 청약부금, 주택청약종합저축
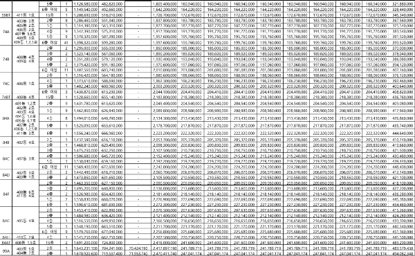
✅ 공급대상
| 주택형 | 주택공급면적 | 공급세대수 | ||
| (주거전용+주거공용) | 일반 | 특별 | 계 | |
| 49.99A | 70.01 | 27 | 3 | 30 |
| 49.98B | 69.882 | 10 | 1 | 11 |
| 49.99T | 70.01 | 2 | 0 | 2 |
| 49.98T | 69.882 | 1 | 0 | 1 |
| 59.96A | 82.4645 | 18 | 12 | 30 |
| 59.99B | 83.41 | 19 | 13 | 32 |
| 59.99C | 82.7042 | 5 | 2 | 7 |
| 59.99T | 83.5824 | 1 | 0 | 1 |
| 74.98A | 102.6143 | 40 | 32 | 72 |
| 74.99B | 103.2935 | 11 | 8 | 19 |
| 74.99C | 102.9431 | 4 | 2 | 6 |
| 74.84T | 102.6908 | 1 | 0 | 1 |
| 84.99A | 115.3235 | 10 | 18 | 28 |
| 84.99B | 115.7936 | 2 | 0 | 2 |
| 84.99C | 116.3004 | 3 | 11 | 14 |
| 84.94D | 116.1901 | 2 | 2 | 4 |
| 84.99F | 115.5591 | 7 | 2 | 9 |
| 84.99G | 117.0654 | 4 | 9 | 13 |
| 84.99H | 119.279 | 1 | 0 | 1 |
| 84.99T | 115.2698 | 2 | 0 | 2 |
| 99.92A | 135.1116 | 2 | 0 | 2 |
| 계 | 172 | 115 | 287 | |
2. 분양일정
| 모집공고일 | 2024년 09월 27일 | |||
| 청약접수 | 구분 | 해당지역 | 기타지역 | 접수장소 |
| 특별공급 | 2024년 10월 7일 | 2024년 10월 7일 | 인터넷 | |
| 1순위 | 2024년 10월 8일 | 2024년 10월 8일 | 인터넷 | |
| 2순위 | 2024년 10월 10일 | 2024년 10월 10일 | 인터넷 | |
| 당첨자 발표일 | 2024-10-16 ( https://www.xi.co.kr/prestier-xi ) | |||
| 계약일 | 2024년 10월 28일 ~ 2024년 10월 30일 | |||
3. 청약자격 확인 (거주의무기간, 전매제한)
청약 자격 미숙지로, 청약 신청서를 오기재 혹은 잘못 신청한 경우 그 귀책 책임은 청약자 본인에게 귀속됩니다. 사전에 반드시 일반공급과 특별공급 청약 자격을 구분하여 확인하여 주시기 바랍니다. (모집공고문과 아래의 링크를 활용해 보시기 바랍니다.) 참고로, 해당단지는 전매제한 1년이 적용되니, 유의하시기 바라며, 재당첨제한, 거주의무기간은 없습니다.
👇👇일반공급과 특별공급의 청약자격을 확인해 보실 수 있습니다.👇👇
많은 사람들이 궁금해 하시는 청약 제도 및 자격에 대한 국토부 답변 모음집입니다. 청약 신청 전에 내려 받고 확인하여 주시기 바랍니다.
국토교통부 주택청약 Q&A
4. 청약신청
부동산 청약 신청은 온라인으로 이루어집니다. 한국부동산원 웹사이트 또는 "청약홈" 모바일 애플리케이션을 통해 신청할 수 있습니다. 원활한 신청을 위해 미리 공동인증서를 등록해 두는 것이 좋습니다.
5. 분양가 분석, 계약금, 중도금, 잔금, 대출
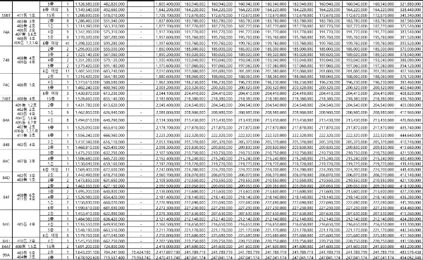
| 주택형 | 공급금액 (최고가 기준) |
| 49.99A | 136,290만원 |
| 49.98B | 138,760만원 |
| 49.99T | 148,890만원 |
| 49.98T | 150,030만원 |
| 59.96A | 160,540만원 |
| 59.99B | 162,380만원 |
| 59.99C | 164,220만원 |
| 59.99T | 172,670만원 |
| 74.98A | 199,760만원 |
| 74.99B | 201,080만원 |
| 74.99C | 204,410만원 |
| 74.84T | 218,380만원 |
| 84.99A | 222,320만원 |
| 84.99B | 209,830만원 |
| 84.99C | 224,200만원 |
| 84.94D | 210,550만원 |
| 84.99F | 227,230만원 |
| 84.99G | 225,680만원 |
| 84.99H | 220,750만원 |
| 84.99T | 241,600만원 |
| 99.92A | 247,041만원 |
전용면적 84㎡ 중 가장 세대수가 많은 A타입의 분양 가격은 22억 2,320만원, 평당가 약 6,539만원이며, 계약금 10%, 중도금 70%(7회, 1회당 10%), 잔금 20%(입주지정일)입니다. 최근 분양한 강남구와 서초구단지들의 분양가격과 거의 비슷한 수준의 분양가격으로 보입니다. (분양가 상한제가 적용되지 않아 가격이 비쌉니다.)이번에는 분양가격의 적정여부를 인근 단지들의 시세와 비교하여 보도록 하겠습니다.
| 입주 | 단지명 | 분양최고가 | 평수 | 평당가 |
| 2025.08. | 디에이치대치에델루이 | 223,080만원 | 33평 | 6,760만원 |
| 2024.08. | 래미안원펜타스 | 228,670만원 | 34평 | 6,726만원 |
| 2026.09. | 디에이치방배 | 224,450만원 | 34평 | 6,601만원 |
| 2025.11. | 청담르엘 | 244,570만원 | 34평 | 7,193만원 |
2024년 10월, 전용면적 84㎡ 매물가 기준(저/탑층 제외, 최적가), 인근 단지들의 매물가격과 비교해 보면, 청담르엘의 분양가는 약 22억원 초반대로 주변 단지들의 시세와 거의 비슷한 수준입니다. 물론 연식이 가장 앞선다는 점은 있지만 안전마진은 거의 없어 보입니다.
| 연식 | 단지명 | 매물시세 | 평수 | 평당가 |
| 2020.03. | 과천푸르지오써밋 | 220,000 | 32 | 6,875 |
| 2022.03. | 과천자이 | 210,000 | 33 | 6,364 |
| 2021.01. | 과천위버필드 | 210,000 | 34 | 6,176 |
부동산 매매는 큰 금액이 오가는 거래이므로 반드시 본인의 가용자금 및 대출(감당할 만한 대출과 대출 이자 연체에 주의하여야 겠습니다.)과 인근 아파트 단지들과의 가격 비교 분석은 필수 사항입니다.
6. 입지분석
✅ 교통 : 교통입지는 좋습니다. 지하철 4호선 정부과천청사역 역세권으로 강남역까지 약 25분 정도면 이동이 가능하며, 자차 이용 시 강남순환고속도로, 제2경인고속도로, 과천봉담도시고속화도로 등을 통해 수도권 주요업무지구로 이동할 수 있습니다. 특히 GTX C 과천청사역이 단지 인근에 예정되어 있어 향후 교통입지는 더 좋아질 예정입니다.
✅ 학군 : 단지 인근에 문원초, 문원중, 그리고 과천고, 과천외고가 있어 괜찮은 면학분위기를 조성하고 있으며, 학원가도 잘 갖추어져 있습니다.
✅ 환경 : 하나로마트, 이마트 과천점 등 다양한 상업시설이 위치해 있으며, 관악산, 청계산, 중앙공원, 관문체육공원 같은 녹지 공간도 풍부합니다. 특히, 강남 일자리와의 근접성 덕분에 직장과 주거의 편리함을 동시에 누릴 수 있습니다.
7. 단지배치도, 타입별 평형 평면도
지하 3층, 지상 최고 35층, 총 11개동, 평지로 구성되며, 주차대수는 총 2,460대, 세대당 1.7대입니다. 또한, 동 배치는 남향 위주로 배치되어 있습니다. 특히, 일반 단지들보다 약 20cm 높은 2.5m의 천정고로 매우 쾌적합니다. 참고로, 평형 타입별 평면도는 아래의 링크를 확인하여 주시기 바랍니다.
8. 커뮤니티 및 편의시설
단지 내 수영장, 사우나, 피트니스, GX룸, 도서관, 독서실, 스터디룸, 골프연습장, 스크린골프, 북가페 등 고급화된 주민편의시설인 클럽자이안이 들어올 예정입니다.
9. 모델하우스, E모델하우스
견본주택은 서울시 강남구 영동대로 319 자이갤러리 1층입니다. 참고로 현장을 방문할 시간이 없으신 분들은 사어버 모델하우스를 활용해 보시기 바랍니다.

10. 청약 가점 계산하기
청약 전 본인의 청약 가점을 입력한 후 모의로 청약 점수를 계산해 보실 수 있으니 참고하여 주시기 바랍니다.
11. 총평
프레스티어자이는 과천시 정부과천청사역 초역세권에 위치하며, 초/중/고 도보 이용, 상권인프라, GTX C 교통 호재 등 괜찮은 입지로 실거주하기 좋은 환경의 단지입니다. 다만, 분상제가 적용되지 않아 분양가격이 만만치 않습니다. 주변 단지들의 시세와 비교하여 보아도 안전마진은 거의 없으며, 강남과 서초구의 분양단지들과 거의 비슷한 가격으로 보입니다. 그러함에도 입지가 좋아 실거주로서는 손색이 없습니다. 이 글을 보시고 현명한 판단을 내려보시기 바랍니다.
12. 함께보면 좋은 단지들
👇👇수도권 주요 청약 예정 단지들과 핵심 아파트들의 시세 및 분양가 분석을 보실 수 있습니다.👇👇
보이지 않는 손의 경제이야기
안녕하세요? 경제적 자유 달성에 관심 있는 블로거 입니다. 제 블로그에서는 경제적 이슈, 부동산 정보, 경제 관련 정보를 다룹니다. 경제적 자유의 성취를 위한 지식과 경험을 공유하며, 함께
easyfasthand.com









