힐스테이트 등촌역은 등촌1구역을 재건축하여 등촌역 역세권에 지어질 단지로 총 543세대(일반분양 274세대)의 아파트입니다. 2024년 12월 5일에는 특별공급 청약이, 6일에는 1순위 일반공급 청약이, 9일에는 2순위 일반공급 청약이 진행될 예정으로 청약이 임박해 있습니다. 이 글에 3분만 할애하시면 분양가 적정여부를 쉽게 알 수 있습니다. 많은 도움이 되셨으면 합니다.
입주자모집공고문 내려받기

목차
1. 힐스테이트 등촌역 사업개요
✅ 분양주소 : 서울시 강서구 등촌동 366-24

✅ 단지규모 : 15층, 12개동, 총 543세대 / 일반분양 274세대
✅ 분양/입주 : 분양 2024.11.25 / 입주 2026.10
✅ 건설사 : 현대건설(주)
✅ 분양문의 : 02-2652-3660
✅ 주차대수 : 782대 / 세대당 1.44대
✅ 청약가능통장 : 청약예금, 청약부금, 주택청약종합저축
✅ 공급대상
| 주택형 | 주택공급면적 (전용+공용) |
공급세대수 | ||
| 일반 | 특별 | 계 | ||
| 59.57A | 79.81 | 45 | 44 | 89 |
| 59.54B | 80.31 | 8 | 6 | 14 |
| 84.94A | 111.74 | 45 | 44 | 89 |
| 84.71B | 111.93 | 15 | 14 | 29 |
| 84.98C | 112.38 | 26 | 27 | 53 |
| 계 | 139 | 135 | 274 | |
2. 분양일정
| 모집공고일 | 2024년 11월 25일 | |||
| 청약접수 | 구분 | 해당지역 | 기타지역 | 접수장소 |
| 특별공급 | 2024년 12월 5일 | 2024년 12월 5일 | 인터넷 | |
| 1순위 | 2024년 12월 6일 | 2024년 12월 6일 | 인터넷 | |
| 2순위 | 2024년 12월 9일 | 2024년 12월 9일 | 인터넷 | |
| 당첨자 발표일 | 2024-12-13 ( https://hillstate.co.kr/s/deungchon ) | |||
| 계약일 | 2024년 12월 26일 ~ 2024년 12월 28일 | |||
3. 청약자격 확인 (거주의무기간, 전매제한)
청약 자격을 숙지하지 못하여, 청약 신청서를 오기재하거나 잘못 신청한 경우 그 귀책 책임은 청약자 본인에게 귀속됩니다. 사전에 반드시 일반공급과 특별공급 청약 자격을 구분하여 확인하여 주시기 바랍니다. (모집공고문과 아래의 링크를 활용해 보시기 바랍니다.) 참고로, 해당단지는 전매제한 1년이 적용되며, 재당첨제한 과 거주의무기간은 없습니다.
👇👇일반공급과 특별공급의 청약자격을 확인해 보실 수 있습니다.👇👇
많은 사람들이 궁금해 하시는 청약 제도 및 자격에 대한 국토부 답변 모음집입니다. 청약 신청 전에 내려 받고 확인하여 주시기 바랍니다.
국토교통부 주택청약 Q&A
4. 청약신청
부동산 청약 신청은 온라인으로 이루어집니다. 한국부동산원 웹사이트 또는 "청약홈" 모바일 애플리케이션을 통해 신청할 수 있습니다. 원활한 신청을 위해 미리 공동인증서를 등록해 두는 것이 좋습니다.
5. 분양가 분석, 계약금, 중도금, 잔금, 대출
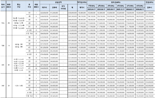
전용면전 84㎡ 기준 분양 최고가는 14억 5,400만원, 평당가 약 4,406만원이며, 계약금 10%(계약시), 중도금 60%(총 6차, 회당 10%), 잔금 30%(입주시)입니다. 분양가 자체가 결코 싸보이진 않습니다. 그렇다면, 인근의 단지들의 현재 매물 시세 가격과 비교해 보겠습니다.
| 주택형 | 공급금액 (최고가 기준) |
| 59.57A | 114,000만원 |
| 59.54B | 112,400만원 |
| 84.94A | 142,200만원 |
| 84.71B | 145,400만원 |
| 84.98C | 144,500만원 |
2024년 12월, 전용면적 84㎡ 매물가 기준(저/탑층 제외, 최저가), 인근 단지들의 매물가격과 비교해 보면, 힐스테이트 등촌역의 분양 최고가는 약 14억 5,400만원으로(평균 14억 4,033만원) 주변 단지들의 시세와 비슷한 수준으로 보입니다. 물론, 연식이 가장 앞선다는 점이 강점이 될 순 있지만, 취득세와 같은 세금을 포함한다면, 현재 시점에서 안전마진이나 시세차익이 거의 없어 보입니다.
| 연식 | 단지명 | 매물시세 | 평수 | 평당가 |
| 2019.03. | e편한세상염창 | 150,000만원 | 32평 | 4,688만원 |
| 2019.04. | 목동롯데캐슬마에스트로 | 125,000만원 | 32평 | 3,906만원 |
| 2022.12. | 우장산숲아이파크 | 147,000만원 | 34평 | 4,324만원 |
부동산 매매는 큰 금액이 오가는 거래이므로 반드시 본인의 가용자금 및 대출(감당할 만한 대출과 대출 이자 연체에 주의하여야 겠습니다.)과 인근 아파트 단지들과의 가격 비교 분석은 필수 사항입니다.
6. 입지분석
✅ 교통 : 교통편으로는 지하철 9호선 등촌역과 약 535m 거리에 위치해 있어 도보로 약 10분이면 이동할 수 있습니다. 지하철을 이용할 경우 강남역까지는 약 45분, 광화문역까지는 약 35분, 여의도역까지는 약 15분이 소요됩니다. 자가용을 이용하면 올림픽대로, 월드컵대교, 강변북로를 통해 수도권의 주요 업무지구로 쉽게 접근할 수 있습니다.
✅ 학군 : 초등학교로 등촌초(203m)가 있으며, 중학교로는 백석중(114m), 등촌초(312m), 신정여중(1.3km)이 있습니다. 고등학교는 한가람고(2.5km), 영일고(241m), 대일고(1.1km)가 있어 초등학교부터 고등학교까지 도보로 통학할 수 있습니다. 또한, 학원가는 단지 근처와 염경초, 염동초 인근에 위치해 있으며, 규모는 작습니다.
✅ 환경 : 이곳은 하나로마트 등촌점, 홈플러스 강서점, NC백화점 강서점, 이마트 목동점, 현대백화점 목동점 등 다양한 상업 시설이 밀집해 있습니다. 부민병원과 이화여대의과대학 부속 서울병원과 같은 종합병원도 있어 의료 접근성이 좋습니다. 여의도와 가까워 일자리 밀집 지역으로의 접근이 용이하며, 한강 산책로, 등마루 공원, 봉제산 공원 등 다양한 녹지 공간이 조성되어 있습니다.
7. 단지배치도, 타입별 평형 평면도
지하 5층, 지상 최고 15층, 총 12개동, 경사로 구성되며, 동 배치는 남향 위주로 배치되어 있습니다. 참고로, 평형 타입별 평면도는 아래의 링크를 확인하여 주시기 바랍니다.
8. 커뮤니티 및 편의시설
단지 내 골프연습장, 피트니스, 작은도서관, H아이숲, 독서실 등 다양한 주민편의시설이 들어올 예정입니다.
9. 모델하우스, E모델하우스
견본주택은 서울특별시 강서구 등촌동 366-60번지이며, 11월 29일 금요일 관람이 가능합니다. 참고로 현장을 방문할 시간이 없으신 분들은 사어버 모델하우스를 활용해 보시기 바랍니다.

10. 청약 가점 계산하기
청약 전 본인의 청약 가점을 입력한 후 모의로 청약 점수를 계산해 보실 수 있으니 참고하여 주시기 바랍니다.
11. 총평
힐스테이트 등촌역은 등촌1구역을 재개발하여 등촌역 역세권에 지어질 예정인 단지입니다. 역세권, 초/중/고 도보 이용, 상권인프라, 여의도 일자리 직주근접 등의 입지로 실거주로서 나쁘지 않은 단지입니다. 다만, 분양가격 자체가 현재 주변 단지들의 시세와 별 차이가 없어 가격적으로 큰 메리트가 없어 보입니다. 이 글을 보시고 현명한 판단을 내려보시기 바랍니다.
12. 함께보면 좋은 단지들
👇👇수도권 주요 청약 예정 단지들과 핵심 아파트들의 시세 및 분양가 분석을 보실 수 있습니다.👇👇
보이지 않는 손의 경제이야기
안녕하세요? 경제적 자유 달성에 관심 있는 블로거 입니다. 제 블로그에서는 경제적 이슈, 부동산 정보, 경제 관련 정보를 다룹니다. 경제적 자유의 성취를 위한 지식과 경험을 공유하며, 함께
easyfasthand.com






