평촌 센텀 퍼스트는 덕현지구 재개발로 지어질 대단지 아파트로 학군, 교통호재, 상권인프라 등을 갖춘 입지의 단지입니다. 올해 초 청약 당시 전용 84를 제외 미분양을 기록하여 청약실적이 저조한데요, 현재 10%의 할인분양을 진행하고 있어 관심이 가는 아파트이기도합니다. 분양가, 입지분석, 할인분양 등 핵심 내용만을 추려 전달하도록 하겠습니다.

목차
1. 평촌 센텀 퍼스트 개요


안양시 동안구 호계동 992-1번지, 덕현지구 주택재개발 정비사업 일환, 디엘이엔씨와 코오롱글로벌 컨소시엄으로 건설될 총 2,886세대 대단지 아파트로 (참고로 초기 착공 시 아파트 이름이 e편한세상 하늘채 평촌센텀퍼스트였으며, 22년 11월 평촌센텀퍼스트로 최종 변경하였습니다.) 단지 인근 초, 중, 고가 있어 도보 통학 가능(평촌학원가 이용 가능), 다양한 상업인프라, 동탄/인덕원선 호재 등 실거주로서 괜찮은 단지이기도 합니다. 다만, 단지 남쪽 안양교도소가 위치하는 점은 해당 단지의 최대 단점입니다.(2030년까지 철거한 후 문화와 공원으로 조성될 예정이라고 합니다.) 입주는 23년 11월 예정되어 있습니다.


변경 입주자모집 공고문 내려받기
2. 청약 결과
전용면적 84㎡을 제외, 전 평형 미달로 청약이 마감되었습니다. 가장 경쟁률이 높았던 타입은 84A로 2.68:1, 가장 경쟁률이 낮았던 타입은 46 타입으로 0.05:1이 었습니다. 아무래도 금리인상과 부동산 하락장 속 청약의 영향을 받은 듯합니다.(물론 당시 고분양가 영향도 있었습니다.)

청약 세부 결과 및 청약 당첨 가점(최저점, 최고점)과 미달 세대수가 궁금하신 분들은 확인하여 주시기 바랍니다.
3. 입지분석

- 교통 : 역세권 아파트는 아닙니다. 지하철 4호선 범계역과 1/4호선 금정역이 약 2.4km 정도 떨어져 도보 이용은 어려워 마을버스로 역사까지 이동 해야합니다. 지하철 이용 시 , 강남역까지는 약 35분, 광화문역까지는 약 50분, 여의도역까지는 약 40분 이내로 이동할 수 있습니다.(버스 이동 시간 제외, 순수 지하철 이동 시간) 또한 자차 이용 시 수도권 제1순환고속도로, 제2경인고속도로, 강남순환도시고속도로, 서해안고속도로를 통하여 수도권 주요업지구를 수월하게 이동할 수 있습니다.
ㄱ
ㄱ
- 학군 : 초등학교는 덕현초(217m)가, 중학교는 대안여중(504m), 신기중(551m), 대안중(646m)이, 고등학교는 평촌과학기술고(200m), 백영고(1.4km), 평촌고(1.4km), 동안고(1.8km)가 있어 초, 중, 고 모두 도보 통학이 가능합니다. 또한 학원가는 안양시 최고의 학원가인 평촌학원가와 가까워 도보 이용이 가능합니다.

안양시 전체 중학교 중학교 학업성취도 및 특목고 진학률 내려받기
- 환경 : 홈플러스 안양점, 롯데마트 의왕점, NC백화점 평촌점, 롯데백화점 평촌점, 이마트 평촌점, CGV, 한림성심병원, 각종 상권 등 다양한 상업 인프라를 갖추고 있으며, 호계근린공원, 자유공원, 덕현지구 공원 등이 있어 쾌적한 편입니다. 다만, 단지 앞 길 건너 안양교도소가 있어 아쉬움이 있습니다.(2030년까지 철거 예정입니다.)
- 호재 : 화성시 동탄부터 안앙시 인덕원을 연결하는 인덕원, 동탄선이 단지 바로 앞에 지나갈 예정(호계사거리역)으로 해당 노선 개통 시, 역세권 아파트로 거듭날 예정입니다. 또한, 지하철 1/4호선인 금정역에는 GTX-C노선이 지나갈 예정입니다.
4. 10% 할인 분양 정보, 시세분석

올해 초 청약 미달로, 6월 5일부터 할인 분양을 하고 있습니다. 10% 할인된 분양가는 평균 평당가 약 2,890만원입니다. 전용 59㎡의 경우 평균 7억 1천만원 정도 입니다. 이 외 시스템 에어컨 무상설치 제공(전용 36/46㎡ : 1대, 전용 59/72/84㎡ : 3대), 발코니 무료 확장도 제공합니다.
ㄱ
ㄱ
인근 단지와 시세를 비교하면, 2023년 6월, 전용 면적 59㎡ 매물 기준(저/탑층 제외) 2019년식 평촌더샵아이파크의 매물가는 7억 2천만원, 평당가 약 2,880만원, 2021년식 평촌어바인퍼스트의 매물가는 6억 8천만원, 평당가 약 2,720만원입니다. 10% 할인된 분양가인 7억 1천만원은 거의 주변 시세와 비슷한 분양가로 보입니다. 현재 시세로 볼 때, 안전마진은 거의 없은 수준이지만, 연식을 고려하면 괜찮아 보입니다.


할인분양 관련 계약은 모델하우스 현장에서 진행되고 있습니다. 계약률이나 잔여 물량이 궁금하신 분들은 모델하우스를 방문하시거나 아래의 전화번호로 연락하여 주시기 바랍니다.

네이버 지도
경기도 안양시 동안구 호계동 1000-41
map.naver.com
계약 전 반드시 본인의 가용자금 확인과 주변 인근 단지와의 아파트 가격비교, 분석도 필수 사항입니다.
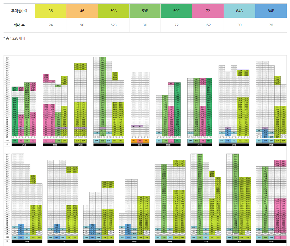
5. 단지배치도, 세대 및 평형, 평면도
지하 3층 ~ 지상 38층, 23개동, 총 2,886세대 대단지로 평형은 타입별로 다양하게 구성되어 있습니다. 로얄동은 아무래도 안양교도소 방면의 동보다는 평촌학원가 방면의 쪽 동이 좋아보이며, 그 중 전용 84가 모여있는 단지 중앙의 동인 109 ~ 115동이 괜찮아 보입니다.
6. 모델하우스 실내VR 둘러보기
모델하우스 현장을 방문하지 않아도 VR을 통하여 실내를 보실 수 있습니다.
7. 커뮤니티 및 편의시설
대단지 단지 내 실내 스크린 골프연습장, 사우나, 실내 체육관, 피트니스, GX룸, 웰컴라운지, 코인세탁실, 주민회의실 등 다양 주민편의시설이 들어올 예정입니다.

8. 그 밖에 최근 분양 단지 및 분양 예정 단지들
서울대 벤처타운역 푸르지오 분양가, 평면도, 입지분석 총정리
서울대 벤처타운역 푸르지오는 신림3구역을 재개발하여 지어질 단지로, 신림개발구역에서 가장 첫번째로 분양이 예정된 아파트입니다. 분양은 6월로 예정되어 있어 미리 알아볼 필요가 있습니
easyfasthand.com
ㄱ
ㄱ
방배 13구역 방배 포레스트 자이 분양가, 평면도, 입지 분석 총정리
방배 포레스트 자이는 방배 13구역을 재건축하여 건설될 단지로, 교통, 학군, 일자리, 환경 등 입지가 좋아 많은 사람들이 관심을 갖고 있는 단지입니다. 분양은 이르면 올해 늦으면 24년도에 진
easyfasthand.com
대조1구역 힐스테이트 메디알레 분양가, 평면도, 입지 분석 총정리
힐스테이트 메디알레는 대조1구역 재개발로 지어질 아파트로서 올해 하반기 분양을 앞두고 있습니다. 특히, 더블역세권, 초품아, 교통 호재 등 입지가 좋은 대단지로서 많은 사람들의 관심을 받
easyfasthand.com
행당7구역 라체르보 푸르지오 써밋 분양가, 평면도, 입지 분석 총정리
라체르보 푸르지오 써밋은 성동구 행당 제7구역을 재개발하여 지어질 단지로 교통, 학군, 일자리 접근성, 상업 인프라 등 입지가 좋아 많은 사람들이 관심을 갖고 있는 아파트입니다. 곧 분양이
easyfasthand.com
e편한세상 강동 프레스티지원 분양가, 평면도, 입지 분석 총정리
e편한세상 강동 프레스티지원은 천호3구역 재건축으로 건설될 단지로, 교통, 호재, 일자리, 환경 등 입지가 좋아 많은 사람들이 관심을 갖고 있는 단지이기도 합니다. 분양이 올해 8월 정도에 예
easyfasthand.com
반포 디에이치 클래스트 분양가, 평면도, 입지 분석 총정리
반포 디에이치 클래스트는 반포주공 1단지를 재건축하여 지어질 아파트로, 교통, 학군, 일자리, 환경, 호재 등 입지가 좋아 많은 사람들이 관심을 갖는 단지이기도 합니다. 현재는 이주가 완료
easyfasthand.com
DMC 가재울 아이파크 분양가, 평면도, 입지 분석 (총정리)
DMC 가재울 아이파크는 가재울뉴타운 내 가좌역 인접한 곳에 위치하는 단지로 서울 서부권역 내에서도 입지가 좋아 많은 사람들이 관심이 갖는 아파트입니다. 5월 26일(금)에 입주자 모집 공고문
easyfasthand.com
운정자이 시그니처 분양가, 평면도, 입지 분석 (총정리)
운정자이 시그니처는 GTX-A의 역사 예정지인 운정역 인근에 지어질 단지 입니다. 향후 교통 여건이 획기적으로 좋아져 많은 사람들이 관심을 갖고 있는 단지이기도 한데요, 청약이 얼마남지 않아
easyfasthand.com
23년 하반기 강남3구 주요 예정 분양 단지 총정리
강남 3구의 2023년 하반기, 분양을 앞둔 단지들을 정리하였습니다. 강남 3구는 전국에서 교통, 학군, 일자리, 환경 등 입지가 가장 좋은 곳으로 항상 많은 사람들의 관심을 받고 있는 곳이기도 합
easyfasthand.com
서대문 센트럴 아이파크 분양가, 평면도, 입지 분석 (총정리)
서대문 센트럴 아이파크는 홍은 13구역에 재개발로 지어질 단지로서 2023년 하반기 분양이 예정되어 있어 수도권 서북부 권역의 사람들이 실거주로서 많은 관심을 갖고 있는 아파트이기도 합니
easyfasthand.com
구의역 롯데캐슬 이스트폴 분양가, 평면도, 입지 분석 (총정리)
롯데캐슬 이스트폴은 자양 1구역 재건축으로 지어질 단지로 입지가 좋아 많은 사람들이 관심을 갖고 있는 단지입니다. 현재 6월에 분양을 앞두고 있으며, 청약이 임박해 있습니다. 시간 낭비를
easyfasthand.com
장위뉴타운 라디우스 파크 푸르지오 분양가, 평면도, 입지 분석 (총정리)
라디우스 파크 푸르지오는 장위뉴타운 6구역 재개발로 지어질 단지로 입지가 좋아 많은 사람들이 관심을 갖고 있는 단지이기도 합니다. 분양은 23년 하반기에 예정되어 있어 미리 단지를 알아
easyfasthand.com
잠실르엘 분양가, 평면도, 입지 분석 (총정리)
잠실르엘은 미성크로바아파트를 재건축하여 건설될 단지로 입지가 좋아 많은 사람들이 관심을 갖고 있는 아파트입니다. 이르면 2023년 올해 하반기에 분양이 될 수도 있다고 보는데요, 분양 전
easyfasthand.com
인덕원 퍼스비엘 분양가, 평면도, 입지 분석, 입주자모집공고 (총정리)
인덕원 퍼스비엘은 교통호재가 풍부한 지하철 4호선 인덕원역 인근에 위치하는 대단지 아파트입니다. 향후 미래가치가 뛰어나 많은 사람이 관심을 가지고 있는 단지이기도 합니다. 5월 19일 입
easyfasthand.com
마포 자이 힐스테이트 분양가, 평면도, 입지 분석 (총정리)
마포 자이 힐스테이트는 공덕동 공덕1구역 재건축으로 지어질 단지로 빠르면 2023년 하반기에 분양이 예정된 단지입니다. 교통입지(쿼트러플 역세권)가 매우 좋아 많은 사람들이 관심을 갖고 있
easyfasthand.com






